- A+
PokerStars亚洲版(PS281.COM)全球最大德州扑克平台。发牌公正,与世界玩家同台竞技
《The Mathematics of Poker》中文翻译

但这些取值只是估计量。200次掷骰子的样本并不是完全正态分布的。我们可以通过一台计算机直接计算得到精确的数值,如下所示:

如你所看到的这样,这些取值的差异非常小。造成这些差异的主要原因是直接计算舍弃了一些取不到的值。如200次实验可以取到的输出值有+38和+45,但取不到+39或+42,这是因为单次实验取正收益只可能取+6。但是在正态分布的估计过程中,默认了每一个值都是可能取到的。
(这里需要解释一下:
进行200次掷骰子实验,假设其中转到x次6,而另(200-x)次不是6。
那么总收益就是:
6x+(-1)(200-x)=7x-200
x=0,1,2,....200
也就是说可能的收益取值有-200,-193,-186,.....-4,3,10,.....1200
显然其中有些值是取不到的)
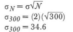
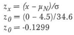
利用这些工具,我们可以回答本章开始的时候提出的问题,即“我一个session盈利的概率有多少?”。为了解决这个问题,我们必须知道这个牌手每手牌的ev、方差,以及每个session所打的手数。考虑一个长期每手平均盈利达到0.015个bb,标准差为2个bb的盈利玩家。假设这个牌手一个session玩300手牌,那么他一个session盈利的概率会是多少呢?
首先我们可以计算出样本的EV:
接着我们可以计算出一个300手的session的标准差:
然后我们可以找出z=0处的z值:
最后我们可以得到我们想要的概率:
这意味着这个牌手有44.83%的概率收获一个非正收益的session,或者说有55.17%的概率收获一个正收益的session。在现实世界中,一个牌手会为了心理原因去调整他们打牌的习惯了创造更多的正收益session,而且实际上你的胜率还会如游戏氛围这样的各种各样的其他因素所影响。但是,一个只是简单地按照300手牌一个session这样机械操作的牌手,他收获一个正收益session的机率应该恰好是55%多一点。
举报
+1
6UP-德扑第一平台&PokerStars亚洲唯一合作伙伴,新会员首存100送50元.
扑克之星亚洲版6UP官方网址:https://evp86.com
6UP扑克之星官网发布页:www.6updh.com
以上文章来源于网络,由6up扑克之星中文网整理发布













